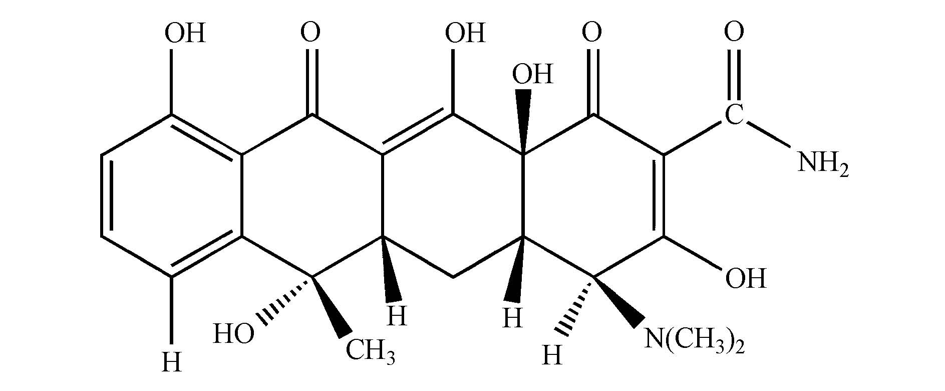
四环素常常引起严重胃肠道反应,造成恶心呕吐、腹泻,使营养物质及维生素造成吸收障碍;其次是四环素为广谱抗生素,长期服用破坏了肠道微环态平衡,而维生素B族的合成,吸收都依赖肠道正常菌群;第三,服用四环素后常常发生口腔粘膜表面的正常菌群消失,真菌繁殖,再加上导致维生素的吸收,生长障碍造成维生素缺乏,就容易发生舌炎、口角炎。
四环素常常引起严重胃肠道反应,造成恶心呕吐、腹泻,使营养物质及维生素造成吸收障碍;其次是四环素为广谱抗生素,长期服用破坏了肠道微环态平衡,而维生素B族的合成,吸收都依赖肠道正常菌群;第三,服用四环素后常常发生口腔粘膜表面的正常菌群消失,真菌繁殖,再加上导致维生素的吸收,生长障碍造成维生素缺乏,就容易发生舌炎、口角炎。









